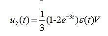
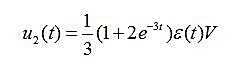
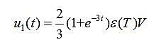
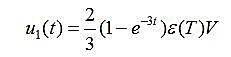
多项选择题
电路如图,已知, 试求出……
电路如图,已知,
试求出
A.
B.
C.
D.
<上一题
目录
下一题>
点击查看答案
打开小程序,免费文字、语音、拍照搜题找答案
热门
试题
问答题
根据小儿年龄分期,生后30天的小儿应属于____期;4周岁的小儿应属于____期;10周岁的小儿属于____期。
点击查看答案
不定项选择
A.错误 B.正确
A.错误
B.正确
点击查看答案